142. 环形链表 II [medium]
142. 环形链表 II [medium]
https://leetcode-cn.com/problems/linked-list-cycle-ii/
给定一个链表,返回链表开始入环的第一个节点。 如果链表无环,则返回 null。
为了表示给定链表中的环,我们使用整数 pos 来表示链表尾连接到链表中的位置(索引从 0 开始)。 如果 pos 是 -1,则在该链表中没有环。
说明:不允许修改给定的链表。
示例 1:
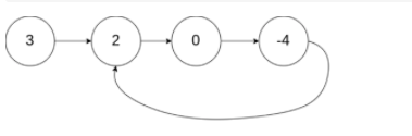
输入:head = [3,2,0,-4], pos = 1
输出:tail connects to node index 1
解释:链表中有一个环,其尾部连接到第二个节点。

示例 2:
输入:head = [1,2], pos = 0
输出:tail connects to node index 0
解释:链表中有一个环,其尾部连接到第一个节点。
示例 3:
输入:head = [1], pos = -1
输出:no cycle
解释:链表中没有环。
进阶:
- 你是否可以不用额外空间解决此题?
通过次数91,331 | 提交次数179,685
Third Try
2020-10-09
要不是之前做过,真是不知道怎样才能在空间为O(1)的情况下搞定这道题。就算做过,写出来 a + b + c = 2 * (a + c)这式子,也差点不知道如何推导出a点。
另外在写while语句让head和collision相遇的时候,也差点写成了死循环,因为其实一开始是在head之前起步,而collision也是新的起步的点,因此应该是head对比collision的下一个点才行。
其实这时候重新返回看first try里的解法,虽然空间复杂度是O(n),但是非常可靠。这种在套路化训练之前摸索出来的方法,充满了直接的工程暴力美感。
# Definition for singly-linked list.
# class ListNode:
# def __init__(self, x):
# self.val = x
# self.next = None
class Solution:
def detectCycle(self, head: ListNode) -> ListNode:
"""
环节点为a, 环长度为b, 相遇点为c
首先两倍走
a + b + c = 2 * (a + c)
b = a + c
a = b - c
从起点出发,走a长度的时候,会跟从c出发的撞到一起。
要不是做过这题目,真是又想不起来了
"""
if not head:
return None
fastnode = head.next
node = head
collision = None
while node and fastnode and fastnode.next:
if node == fastnode:
collision = node
break
node = node.next
fastnode = fastnode.next.next
if not collision:
return None
collision = collision.next # 起点是下一个,因为一开始的起点其实是在head之前
while head and collision:
if head == collision:
return head
head = head.next
collision = collision.next
Second Try
2020-07-07
参考题目里的评论,非常容易理解:
by @flyFatSeal https://leetcode-cn.com/problems/linked-list-cycle-ii/comments/52525
7<-6<- 5
| ^
| |
0->1->2->3->4
[-----]
a
如上图所示,我们设置快慢两个指针,fast, slow fast一次前进两步,slow一次前进一步,如果存在环则必然会相遇。
- 设a为第一个节点到入环节点的距离。 a=[0->2]
- 设b为入环口到相遇点的距离。b=[2->6]
- 设c为相遇点到入环口的距离。c=[6->2]
- 当fast,和slow相遇的时候,fast经过的节点是slow的两倍,设slow经过的节点数为S。
- 根据上面的设置,可知 S=a+b ,2S=a+b+c+b,可知 a=c
- 此时让slow回到第一个节点, fast处于第一次相遇的节点,此时slow从第一个节点出发,因为a=c,所以fast,和slow会在入环口第二次相遇,得到要求的节点。
另外个人再补充如果fast指针已经走了多次循环的情况:
有循环不影响结论。
假设循环为n, 那么s = a + b, 2s = a + b + c + b + n (b + c) ==> c + n (b + c) = a ==> 一个从起点出发,一个从b点出发,当从起点的出发到a的时候,另一个指针也走了 c + n * (b+c)的长度,刚好也到a点。
其次需要注意的点是起点的确认。比如根据推导a=c,而且第二次出发是从相遇点开始出发,所以第一次的时候需要注意两个从head一起出发,而不是从head的前一步,或者后一步出发, 否则a和c的长度就混乱了。
因此第一次nodei = head.next, nodeii = head.next.next, 如果写成nodei = head, nodeii = head.next虽然也能判断出循环,但是要找到循环交汇点就麻烦了,容易陷入无限循环。
# Definition for singly-linked list.
# class ListNode(object):
# def __init__(self, x):
# self.val = x
# self.next = None
# O(1)空间版本,不想推导了
class Solution(object):
def detectCycle(self, head):
"""
:type head: ListNode
:rtype: ListNode
"""
# 一波先判断到底
if not (head and head.next and head.next.next):
return None
# 重点在于起点需要选择好
# 由于推导的时候是从head作为起点开始出发, 在遇到相遇点的时候,第二轮就是从相遇点开始走起的,因此也需要模拟出第一步从head凑出一步和两步的效果
# 如果一开始写成nodei = head, nodeii = head.next,则结果错误
# 无尽循环bug写法,依然可以找到环,但是在第二波循环的写法里直接进入无限循环了,因为每一次都只前进一步,起点错误就永远追不上
# nodei = head
# nodeii = head.next
nodei = head.next
nodeii = head.next.next
# 如果不是前面直接判断了一波head.next.next,nodeii为None的情况就往下走了,贡献了一波错误提交
while nodeii:
if nodei == nodeii:
break
if nodeii.next and nodeii.next.next:
nodei = nodei.next
nodeii = nodeii.next.next
else:
return None
# print("catcha")
nodei = head
while True:
if nodei == nodeii:
return nodei
nodei = nodei.next
nodeii = nodeii.next
- 执行用时:52 ms, 在所有 Python 提交中击败了27.51%的用户
- 内存消耗:19 MB, 在所有 Python 提交中击败了6.25%的用户
First Try
2020-07-07
# Definition for singly-linked list.
# class ListNode(object):
# def __init__(self, x):
# self.val = x
# self.next = None
class Solution(object):
def detectCycle(self, head):
"""
:type head: ListNode
:rtype: ListNode
"""
# 感觉用快慢指针也找不出来在哪里汇合啊?
cache = dict()
i = 0
while head:
if head in cache:
return head
cache[head] = i
head = head.next
i += 1
return None
- 执行用时:40 ms, 在所有 Python 提交中击败了79.69%的用户
- 内存消耗:20 MB, 在所有 Python 提交中击败了6.25%的用户