Skip to main content

5474. 好叶子节点对的数量 [medium]

5474. 好叶子节点对的数量 [medium]

第199周赛 https://leetcode-cn.com/contest/weekly-contest-199/

https://leetcode-cn.com/contest/weekly-contest-199/problems/number-of-good-leaf-nodes-pairs/

给你二叉树的根节点 root 和一个整数 distance 。

如果二叉树中两个 叶 节点之间的 最短路径长度 小于或者等于 distance ,那它们就可以构成一组 好叶子节点对 。

返回树中 好叶子节点对的数量 。

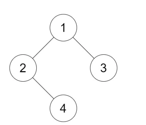
示例 1:

image

输入:root = [1,2,3,null,4], distance = 3
输出:1
解释:树的叶节点是 3 和 4 ,它们之间的最短路径的长度是 3 。这是唯一的好叶子节点对。

示例 2:

image

输入:root = [1,2,3,4,5,6,7], distance = 3
输出:2
解释:好叶子节点对为 [4,5] 和 [6,7] ,最短路径长度都是 2 。但是叶子节点对 [4,6] 不满足要求,因为它们之间的最短路径长度为 4 。

示例 3:

输入:root = [7,1,4,6,null,5,3,null,null,null,null,null,2], distance = 3
输出:1
解释:唯一的好叶子节点对是 [2,5] 。

示例 4:

输入:root = [100], distance = 1
输出:0

示例 5:

输入:root = [1,1,1], distance = 2
输出:1

提示:

  • tree 的节点数在 [1, 2^10] 范围内。
  • 每个节点的值都在 [1, 100] 之间。
  • 1 <= distance <= 10

First Try

2020-07-26

看到tree的节点数在2^10的范围,感觉递归的O(N)算法很难通过了,但还是尝试按照递归常规写法来一边。

在如何筛选已经无效的距离,并且在左右子节点的笛卡尔积中进行快速筛选,都没有什么高效的思路。只能按照最基础的O(M * M)进行遍历筛选。

感觉肯定是超时了,结果一提交,竟然又通过了。。。

于是周赛又解决了一道题。

递归的思路是左边的n个叶子节点的距离的列表,右边的n个叶子节点的距离的列表,然后对两者进行筛选,去除已经明确大于distance的无效的元素,然后进行笛卡尔积式的两轮遍历,找到a + b <= distance的所有点,然后用于下一个父级节点的左/右节点的返回项。在这些操作过程中统计次数就行。

# Definition for a binary tree node.
# class TreeNode:
# def __init__(self, val=0, left=None, right=None):
# self.val = val
# self.left = left
# self.right = right

import heapq
class Solution:
def countPairs(self, root: TreeNode, distance: int) -> int:
# 不知道O(N)算法能否通过啊,节点数也太多了

rv = {"val": 0}
def col(node, target):

if not node:
return []
if not (node.left or node.right):
return [0]

left = col(node.left, target)
left = [l + 1 for l in left if (l + 1) < target]


right = col(node.right, target)
right = [r + 1 for r in right if (r + 1) < target]

if not (len(left) or len(right)):
return []

if (not len(left)) or (not len(right)):
return left + right

for l in left:
for r in right:
if l + r <= target:
rv["val"] += 1
return left + right

col(root, distance)
return rv["val"]