160. 相交链表
160. 相交链表
https://leetcode-cn.com/problems/intersection-of-two-linked-lists/
编写一个程序,找到两个单链表相交的起始节点。
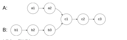
如下面的两个链表:

在节点 c1 开始相交。
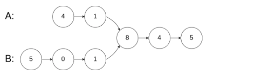
示例 1:

输入:intersectVal = 8, listA = [4,1,8,4,5], listB = [5,0,1,8,4,5], skipA = 2, skipB = 3
输出:Reference of the node with value = 8
输入解释:相交节点的值为 8 (注意,如果两个链表相交则不能为 0)。从各自的表头开始算起,链表 A 为 [4,1,8,4,5],链表 B 为 [5,0,1,8,4,5]。在 A 中,相交节点前有 2 个节点;在 B 中,相交节点前有 3 个节点。
示例 2:

输入:intersectVal = 2, listA = [0,9,1,2,4], listB = [3,2,4], skipA = 3, skipB = 1
输出:Reference of the node with value = 2
输入解释:相交节点的值为 2 (注意,如果两个链表相交则不能为 0)。从各自的表头开始算起,链表 A 为 [0,9,1,2,4],链表 B 为 [3,2,4]。在 A 中,相交节点前有 3 个节点;在 B 中,相交节点前有 1 个节点。
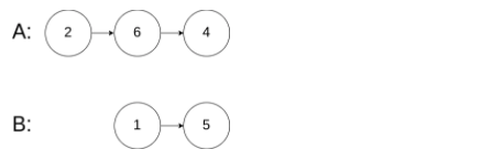
示例 3:

输入:intersectVal = 0, listA = [2,6,4], listB = [1,5], skipA = 3, skipB = 2
输出:null
输入解释:从各自的表头开始算起,链表 A 为 [2,6,4],链表 B 为 [1,5]。由于这两个链表不相交,所以 intersectVal 必须为 0,而 skipA 和 skipB 可以是任意值。
解释:这两个链表不相交,因此返回 null。
注意:
- 如果两个链表没有交点,返回 null.
- 在返回结果后,两个链表仍须保持原有的结构。
- 可假定整个链表结构中没有循环。
- 程序尽量满足 O(n) 时间复杂度,且仅用 O(1) 内存。
通过次数122,434 | 提交次数220,767
First Try
2020-07-07
本来第一眼没什么思路,因为又是要求O(1)的空间复杂度。不过看题目test case其实也给了一些提示,尤其是这个skip操作。既然相交后一直重复到末尾,那么只要后面对齐进行了,前面跳过n个空格,把后面对齐,然后一个个比较就可以了。
# Definition for singly-linked list.
# class ListNode(object):
# def __init__(self, x):
# self.val = x
# self.next = None
class Solution(object):
def getIntersectionNode(self, headA, headB):
"""
:type head1, head1: ListNode
:rtype: ListNode
"""
nodeA = headA
nodeB = headB
ca = 0
cb = 0
while nodeA:
ca += 1
nodeA = nodeA.next
while nodeB:
cb += 1
nodeB = nodeB.next
while ca > cb:
headA = headA.next
ca -= 1
while ca < cb:
headB = headB.next
cb -= 1
while headA:
if headA == headB:
return headA
headA = headA.next
headB = headB.next
return None
- 执行用时:200 ms, 在所有 Python 提交中击败了48.64%的用户
- 内存消耗:42.8 MB, 在所有 Python 提交中击败了8.33%的用户