743. 网络延迟时间 [medium]
743. 网络延迟时间 [medium]
https://leetcode-cn.com/problems/network-delay-time/
有 N 个网络节点,标记为 1 到 N。
给定一个列表 times,表示信号经过有向边的传递时间。 times[i] = (u, v, w),其中 u 是源节点,v 是目标节点, w 是一个信号从源节点传递到目标节点的时间。
现在,我们从某个节点 K 发出一个信号。需要多久才能使所有节点都收到信号?如果不能使所有节点收到信号,返回 -1。
示例:

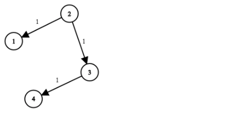
输入:times = [[2,1,1],[2,3,1],[3,4,1]], N = 4, K = 2
输出:2
注意:
- N 的范围在 [1, 100] 之间。
- K 的范围在 [1, N] 之间。
- times 的长度在 [1, 6000] 之间。
- 所有的边 times[i] = (u, v, w) 都有 1 <= u, v <= N 且 0 <= w <= 100。
通过次数12,944 | 提交次数28,766
Third Try
2020-06-30
其实回过头来看,自己摸索的first try其实已经是正宗的优化后的dijkstra算法,而我在看题解这个未优化后的算法的时候还懵逼了一会儿。 first try里的思路真是理所当然,拆分成这个原始版本真是突然有点难理解。
每次查找到起点最近距离的一个点,这个点就算被标记了,不用再进循环了。然后这个点下游的所有点,都可以获得一个新的距离,跟本身已经有的距离进行比较,选择小的就完事了,然后开始下一波。在下一波循环中,依然是选择当前到起点最近的一个点,然后继续重复这个过程。反正每次操作,都能够确认一个最短距离点,虽然不一定是同一条路线上的,但每次都会有一个点被解决掉。最后一波N次循环之后,所有点离起点的最短距离也就出来了。最后的时候,判断是否所有点都有有效距离,可以看出是否有些点无法到达没有被遍历到。
每次循环的时候,选择最小点需要N次比较,因此总的算法复杂度是O(N^2),勉强可以接受。
算是真正在实现上搞定了传说多年的dijkstra算法,今天浪费那么多时间也算是值得了。这个领域不再那么玄乎了。不过看算法书上的证明,还是没法硬着头皮看完,看来还是leetcode厉害,至少有个案例可以上手掌握。
又思考了一会儿,其实dijkstra算法的核心在于每轮一开始得到的距离最短的节点,这个节点到起点的距离是所有可能中最短的,因为其他点的距离都要大于该点(其他更短的节点早就被遍历过了,且其所有能到达的下一个节点也都进入此轮比较范围),通过其他点再绕过来的话更不用说。因此这一轮其实真正能确认的是这个距离最短的节点,而这个节点下游的节点的距离仅仅只是做一个初步标记而已,无关紧要。
- 时间复杂度: EE 是 times 的长度。基础实现方式为 O(N^2 + E)O(N 2 +E)。堆实现方式为 O(E \log E)O(ElogE),因为每个边都可能添加到堆中。
- 空间复杂度:O(N + E)O(N+E),图的大小是 O(E)O(E) 加上其他对象的大小 O(N)O(N)。
2020-07-12 补充记录
做了几天其他题目,再遇到最短路径的时候又开始有些犯迷糊,dijkstra、prim、kruskal都混淆在一起。 其实dijkstra算法在每一轮优先队列加入元素的时候,都需要与上一个的结果进行叠加(比如这里的时间相加,比如算概率的时候与上一个概率相乘),而prim算法每一轮只需要离当前树最短的距离的边即可,要简单许多。 一个dijkstra算法不做最终限制,得到的是到所有顶点的最短距离,如果到某个顶点就挺住了,则是到某个顶点的最短距离。而prim算法是所有边的总和最短,并不是完全形态的dijkstra算法(到所有顶点的最短路径),虽然不假思索会认为就是同一个。 比如很简单的一个案例,考虑一个三角形构成的图,有a,b,c三个点,a为起点,ac边>bc边, 那么dijkstra最短距离分别为a-b和ac两条边。但是最短生成树肯定是a-b和b-c两条边。
如果要知道dijkstra得到最短距离后的路径,那么需要在每次放到队列里的时候,自动把前一个路线的信息合并到该点末尾即可,比如本来是[distance1, node1],下一个关联点是[distance11, node11], 可以改成[distance1 + distance 11, node11, node1],放进优先队列里,看下一个出来的是哪个。 因此每一轮的时候,dijkstra处理的都是里起点距离最近的点。
至于prim最小生成树,要知道所有的边,那么只需要每次添加新点的时候,把边放到集合里即可。毕竟所有点都会被包含,因此统计点只用来判断是否所有点可联通。每一轮循环的时候,prim算法从优先队列里拿到的,都是离当前集合树最近的点,并不是离起点最近的点。
这个差别就差点忘了,还是得总结一下。
# 得来一波真正的dijkstra
class Solution(object):
def networkDelayTime(self, times, N, K):
"""
:type times: List[List[int]]
:type N: int
:type K: int
:rtype: int
"""
graph = collections.defaultdict(list)
for source, target, time in times:
graph[source].append([time, target])
dist = [float('inf') for i in range(0, N+1)]
dist[K] = 0
dist[0] = 0 # 填个坑
visited = set([0])
while True:
shortest_p = None
shortest_dist = float('inf')
for i in range(1, N+1): # 写成range(1, N),又浪费一次提交
if i not in visited and dist[i] < shortest_dist:
shortest_dist = dist[i]
shortest_p = i
# print(shortest_p, graph[shortest_p])
if shortest_p is None:
break
visited.add(shortest_p)
for t, n in graph[shortest_p]:
# print(shortest_p, shortest_dist, dist[n], t)
dist[n] = min(dist[n], shortest_dist + t)
# print("ala", dist)
if max(dist) == float('inf'):
return -1
return max(dist)
- 执行用时:576 ms, 在所有 Python 提交中击败了42.20%的用户
- 内存消耗:14.7 MB, 在所有 Python 提交中击败了100.00%
Second Try
2020-06-20
一个无关紧要的暴力递归版本,从题解了解到dijkstra之后想要写一波,以为有个递归,一写就搞出来这个版本。其实每个定点下面的每个边都被遍历了一遍,甚至如果选择恶化的条件下每个定点的下游会被遍历N遍,因此复杂度是O(N^N)级别,太可怕了。 不过在时间测试上竟然也能通过。
- 时间复杂度:O(N^N + E \log E)O(N N +ElogE)。其中 EE 是 times 的长度。
- 空间复杂度:O(N + E)O(N+E),图的大小是 O(E)O(E) 加上 DFS 中隐式调用堆栈的大小 O(N)O(N)。
# 来一波dijkstra(虚假的
class Solution(object):
def networkDelayTime(self, times, N, K):
"""
:type times: List[List[int]]
:type N: int
:type K: int
:rtype: int
"""
graph = collections.defaultdict(list)
for source, target, time in times:
graph[source].append([time, target])
dist = [float("inf") for i in range(0, N+1)] #差点又写成了range(1, N+1)
dist[K] = 0
dist[0] = 0 # 这个无关紧要,占个位置别影响判断
# 所有位置遍历一遍,感觉是一个很蠢的算法,复杂度应该是所有边吧?
# 好像还不止,如果一开始是比较长碰上了,会把下游也都遍历一遍,之后遇到短的又重来一遍,感觉是接近O(N^N)的算法...
def recursive(node, dist):
for t, n in graph[node]:
if dist[node] + t < dist[n]:
dist[n] = dist[node] + t
recursive(n, dist)
recursive(K, dist)
time = max(dist)
return -1 if time == float('inf') else time
- 执行用时:3220 ms, 在所有 Python 提交中击败了5.68%的用户
- 内存消耗:16.6 MB, 在所有 Python 提交中击败了100.00%的用户
First Try
2020-06-30
其实这个就是早上十几分钟写出来的一个版本,当然是在修改了bug之后的,当时也不知道dijkstra算法之类,就按照题意进行直白翻译了,结果竟然写出了传说中的dijkstra算法。说起来也是出题人牛逼,刚好除了道这么好理解的题目,按照时间排序非常直接自然。而且为了每次获得最近可以到达的顶点,直接使用了优先队列,现在用起来也是很自然了。
复杂度是O(NlgN)吧。
import heapq
class Solution(object):
def networkDelayTime(self, times, N, K):
"""
:type times: List[List[int]]
:type N: int
:type K: int
:rtype: int
"""
# 查找k点到所有节点的最短路径,典型的dijkstra算法
# 但这里用的是自己摸索的写法,虽然中间出过bug
graph = collections.defaultdict(list)
indegree = [i for i in range(N+1)]
for source, target, time in times:
graph[source].append([time, target])
indegree[target] += 1
# 提前检查一波是否有一些明确不可到达的根节点,但只是加速不检查也不影响结果
for idx in range(1, N+1):
if indegree[idx] == 0 and idx != K:
return -1
heap = [[0, K]]
visited = set() # 严格按照时间排序,后来的就算了
while len(heap):
time, node = heapq.heappop(heap)
if node in visited: # 虽然加入前检查过,但也可能被插队了
continue
# if len(visited) == N: # 提前跳出看能否加速,然后并没有加速
# break
visited.add(node)
final_time = time # 最后一次才有效
for t, n in graph[node]:
if n in visited: # 加入前也检查一波是否已经走过了,走过的肯定更早
continue
heapq.heappush(heap, [time + t, n])
# 其实最后一个从heap出来后没被访问过的元素,就是最后被到达的节点,
if len(visited) != N:
return -1
return final_time
- 执行用时:496 ms, 在所有 Python 提交中击败了60.28%的用户
- 内存消耗:15.1 MB, 在所有 Python 提交中击败了100.00%的用户
- bug version
在队列里排队的元素,没有想到需要用总时间,导致出现低级bug。本来没有这个bug的话,真是是十几分钟就搞完了,结果叠加今天各种琐事摸鱼现在一直到了傍晚了。
# 在队列里排队的元素,没有想到需要用总时间,导致出现低级bug
import heapq
import collections
class Solution(object):
def networkDelayTime(self, times, N, K):
"""
:type times: List[List[int]]
:type N: int
:type K: int
:rtype: int
"""
# 感觉应该使用优先队列
# 这里的有向图并没有先决条件之类的制约
# 有向图里面可能有环,一个节点有不同达到路径,可能存在快速捷径
heap = []
graph = collections.defaultdict(list)
# 又傻逼了,为了存储1到N的元素,同时允许直接用元素下表索引,竟然写出了range(1, N+1)这种低级bug
# indegree = [0 for i in range(1, N+1)]
indegree = [0 for i in range(0, N+1)]
for source, target, time in times:
graph[source].append([time, target])
indegree[target] += 1
# 筛选不可能到达的点
starts = []
for idx in range(1, N+1):
if indegree[idx] == 0:
starts.append(idx)
# 本身K也不一定是根节点,只是查找下是否有其他根节点
if len(starts) >= 1 and starts != [K]:
print("vola", starts, K)
return -1
# seq = [] # 发现还是得把一路走过的路都记录下; 好像不需要记录所有走过的路,直接放弃
visited = set()
# 起始点为[0, K],毕竟顶点不需要时间
heapq.heappush(heap, [0, K])
while len(heap):
item = heapq.heappop(heap)
time, node = item[0], item[1]
# 可能被捷足先登了,就算放进去队列的时候已经检查过一次
if node in visited:
continue
seq_final = item + [] # 最后到达的就是最长的
visited.add(node)
for t, n in graph[node]:
# print(node, n, t)
if n not in visited:
# 前面走过的路都算数
heapq.heappush(heap, [t, n] + item)
if len(visited) != N:
print("ala?", visited)
return -1
print(seq_final)
total = 0
for i in range(len(seq_final)):
if i % 2 == 0:
total += seq_final[i]
return total